
# 목차
- 인터넷 개념
- 인터넷 역사
- 인터넷 발전 단계
1. '인터넷'이란?
TCP/IP 프로토콜을 사용하는 네트워크의 네트워크 또는 네트워크의 집합체
2. 인터넷 역사
인터넷이란, 1973년 인터넷 프로토콜 TCP/IP(Transmission Control Protocol/Internet Protocol)의 기본 아이디어를 생각해낸 빈튼 서프와 밥 간이 '네트워크의 네트워크'를 지향하며, 모든 컴퓨터를 하나의 통신망 안에 연결(Inter Network)하고자 하는 의도에서 인터넷(Internet)이라 처음 명명한 것으로부터 유래됨
인터넷의 이론적 기반은 야간대학 박사과정 대학원생 레오나드 클라인로크의 1962년 박사학위 논문 주제인 '패킷 교환(packet switching)'이론으로 알려짐. 이 이론은 항공 예약처럼 정보를 여러 개의 작은 단위인 패킷으로 나눠, 각 패킷들이 서로 다른 경로를 떠돌다 최종 목적지에서 만나도록 통신라인을 운영하려는 생각에서부터 시작됨
인터넷의 탄생 순간은 1968년 클라인로크 교수가 링컨연구소에 근무하는 친구 래리 로버트와 공동으로 미 국방성 고등연구계획국(ARPA; Advanced Research Projects Agency)에 새로운 통신망 연구를 제안하여 1년 후 1969년 9월 2일 캘리포니아주립대와 스탠퍼드연구소 사이에 첫 통신이 이루어진 순간임. 당시, 캘리포니아주립대 컴퓨터 과학부 실험실에서 스탠퍼드연구소 컴퓨터에 '접속(LOG IN)'이란 메시지를 전송하는 테스트를 하여 다섯 글자 중 가운데 'LO' 두 글자를 전송하는 데 성공했다고 함
인터넷이 통신망의 근간이 된 계기는 1980년대에 알파넷과 미국과학재단(NSF; National Science Foundation)이 만들어 운영 중인, 다섯 군데 슈퍼컴퓨터 센터를 연결하는 NSFNET라는 통신망이 상호 연결되면서부터임. 이후, 인터넷은 1989년 스위스 입자물리연구소 연구원팀 버너스 리의 월드 와이드 웹(www) 창안, 1992년 미국인 마크 앤드리슨의 '모자익'이란 웹 브라이죠 발명 등 비약적 발전을 함

3. 인터넷 발전 단계
-
단순 네트워크
1) 1 : 1 연결
두 대의 컴퓨터를 물리적(eg. 이더넷 케이블) 또는 무선(eg. WiFI, Bluetooth)으로 연결하는 것

2) N : N 연결
여러 대의 컴퓨터를 연결할 경우, 1:1 연결과 동일한 방법 사용 가능. 하지만, 연결이 증가할수록 복잡성이 높아짐. 예를 들어, 10대의 컴퓨터를 연결하기 위해서는 컴퓨터당 9개의 플러그가 필요하고, 총 45개의 케이블이 필요함

3) 라우터 연결
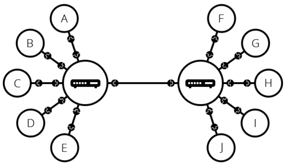
N : N 연결의 문제 해결 방법으로 각 컴퓨터를 '라우터'라는 특수한 소형 컴퓨터에 연결하는 것. 이 결과, 10대의 컴퓨터 네트워크에는 컴퓨터당 1개의 플러그, 총 10개의 케이블, 그리고 1대의 라우터만 필요해짐. '라우터'는 철도역의 신호원처럼 연결될 컴퓨터에서 보낸 메시지가 올바른 대상 컴퓨터에 도착하는지 확인하는 작업만 수행함. 예를 들어, 컴퓨터 A가 컴퓨터 B에게 메시지를 보내려면, 컴퓨터 A는 라우터에 메시지를 보내야 하며, 라우터는 메시지를 컴퓨퓨터 B 외의 다른 컴퓨터(eg. 컴퓨터 C)에 배달되지 않도록 하면서 컴퓨터 B에게 전달해야 함.

- 네트워크 속의 네트워크
1) 라우터의 1 : 1 연결
라우터 또한 컴퓨터의 일종이기 때문에 라우터끼리 연결이 가능함. 이를 통해, 다수의 컴퓨터를 연결할 수 있게 됨

2) 라우터의 N : N 연결
여러 대의 라우터 연결을 통해 다수의 컴퓨터를 연결할 수 있게 됨. 이러한 네트워크는 우리가 인터넷이라 부르는 것에 매우 가깝지만, 아주 먼 곳에 케이블을 연결하기 어렵다는 한계를 지님. 예를 들어, 친구, 이웃 등 가까운 지역 내에선 컴퓨터로 이루어진 그들만의 네트워크를 구성할 수 있지만, 다른 지역 사이에선 불가능함.

3) 라우터 : 모뎀 연결
'모뎀'이란, 라우터를 전화 시설과 연결해주는 특수 장비로 네트워크 정보를 전화 시설에서 처리할 수 있는 정보로 또 전화 시설의 정보를 네트워크 정보로 바꾸어주는 역할을 함. 이를 통해, 이미 세계 어느 곳과도 연결되어 있는 전화 기발 시설을 이용하여 아주 먼 곳에도 네트워크를 연결할 수 있게 됨

4) 모뎀 : 모뎀 연결

결과적으로, 네트워크를 인터넷 서비스 제공 업체 (ISP; Internet Service Provider)에 연결하여 먼 곳까지 메시지를 보낼 수 있게 됨. ISP는 모두 함께 연결되는 몇몇 특수한 라우터를 관리하고 다른 ISP의 라우터에도 액세스 할 수 있는 기업으로 국내에는 SKT, KT, LG U+가 있음.
* 다음 이야기
인터넷과 웹은 다르다???

참고문헌
- 한국민족문화대백과사전 / encykorea.aks.ac.kr/Contents/Item/E0047110
- MDN Web Docs / developer.mozilla.org/ko/docs/Learn/Common_questions/How_does_the_Internet_work
'공부 > DeveloperLoadMap' 카테고리의 다른 글
| [GitHub] GitHub 블로그 만들기 (Ruby) (2) | 2021.06.06 |
|---|---|
| 계획. Developer Load Map 따라하기 (0) | 2021.04.06 |